التربية تدعو آلاف المرشحين للاختبار التنافسي لوظيفة معلم (أسماء)
وكالة الناس — دعت وزارة التربية والتعليم المرشحين وفقًا لأسس الإستقطاب والترشيح من مخزون طلبات التوظيف في هيئة الخدمة والإدارة العامة لعام 2025 لغايات التعيين لإشغال وظيفة (معلم) لحملة مؤهل البكالوريوس من التخصصات التالية (التربية الرياضية، علم الحاسب الآلي، إدارة الأعمال) بالإضافة إلى تخصصات برنامج الدبلوم العالي لإعداد وتأهيل المعلمين قبل الخدمة المنتهي بالتعيين، الحضور للإختبار التنافسي الإلكتروني الذي سيعقد في مركز تقييم الكفايات/ في مبنى هيئة الخدمة والإدارة العامة، الكائن في طبربور- شارع الأقصى وفقًا للكفايات الآتية:
الكفايات المعرفية التخصصية وتعطى 50% من العلامة الكلية.
الكفايات التربوية العامة وتعطى 20% من العلامة الكلية.
الكفايات الوظيفية العامة وتعطى 20% من العلامة الكلية.
الكفايات المهنية للتخصص وتعطى 10% من العلامة الكلية.
ولمعرفة الإسم وموعد ووقت الجلسة واسم القاعة، من خلال الرابط التالي:
https://academy.moe.gov.jo/HR/
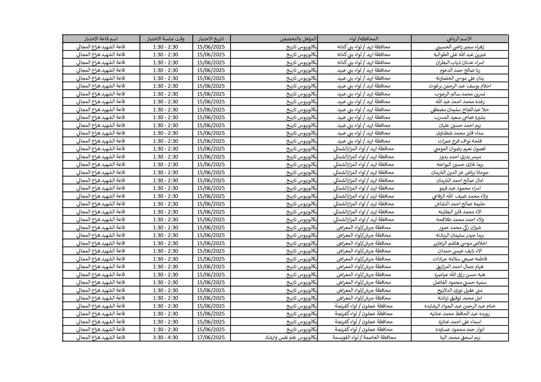
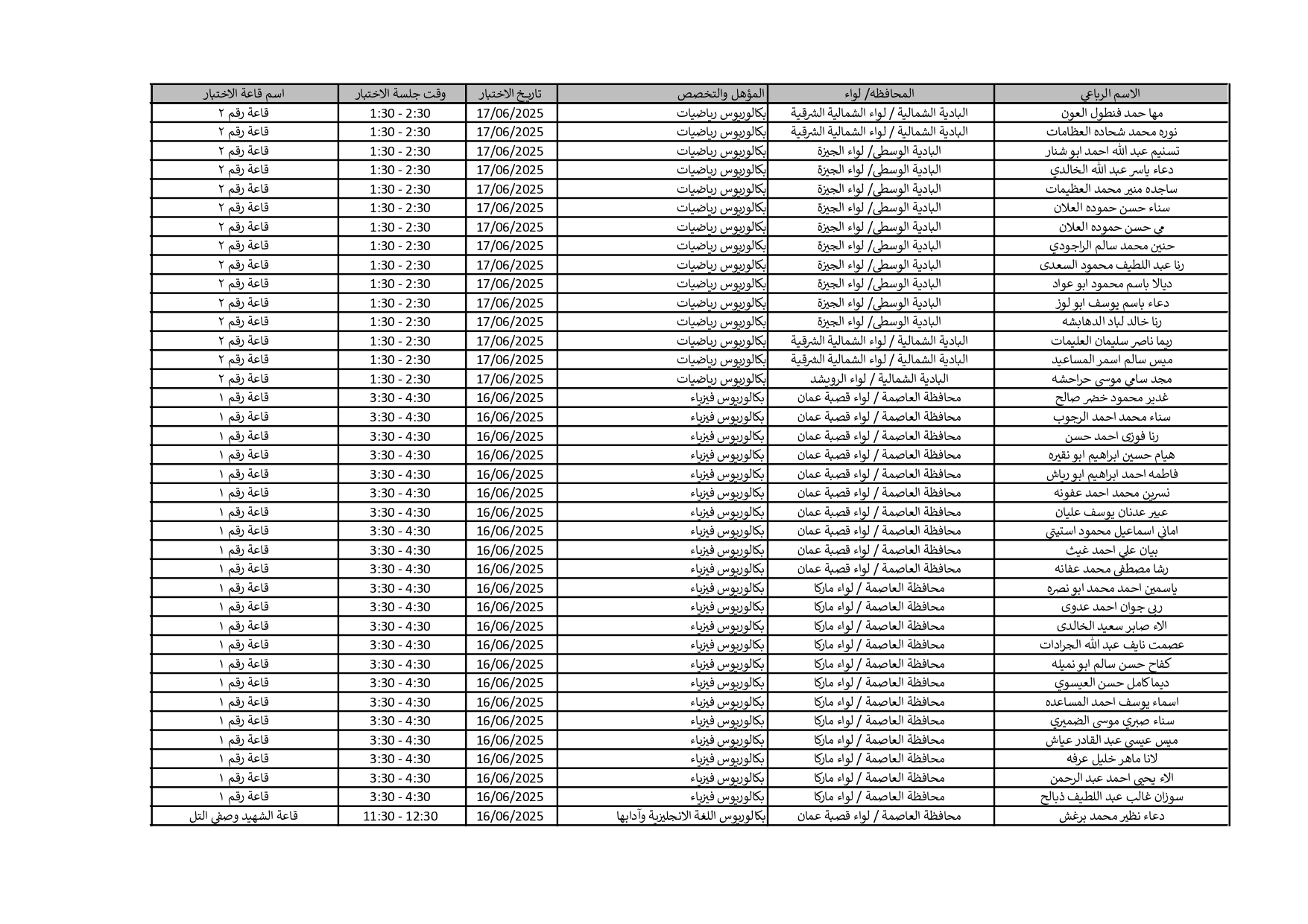
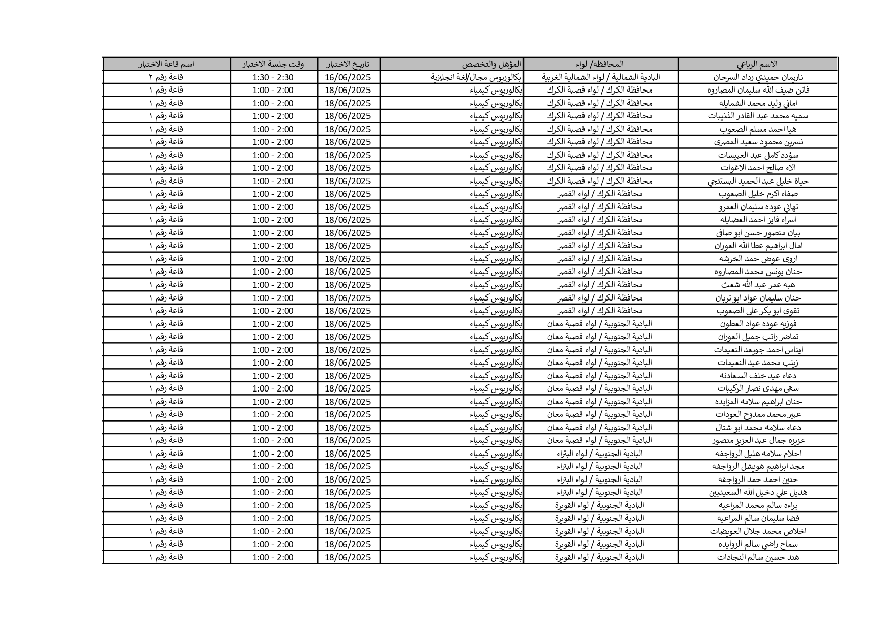
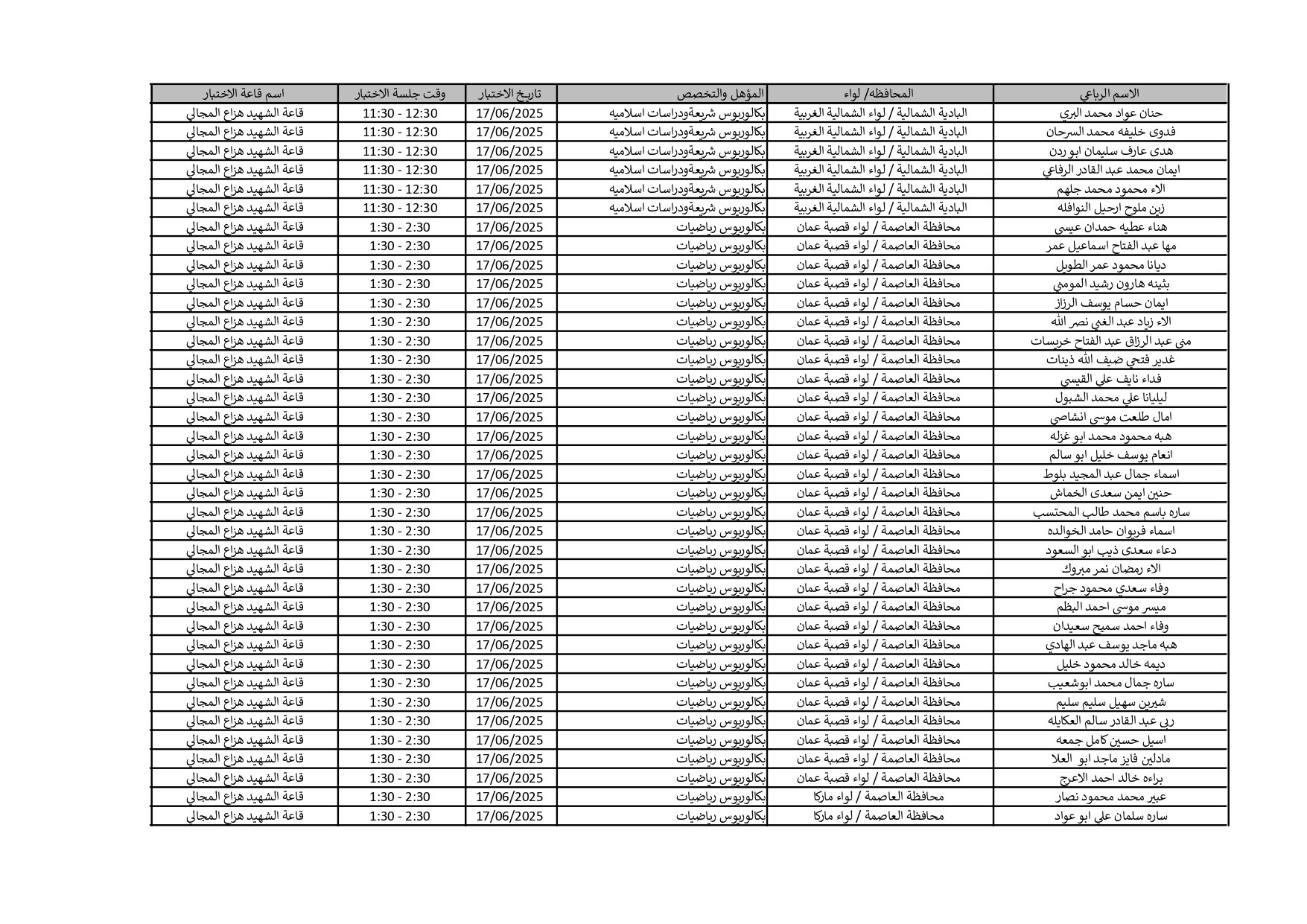
وتاليا أسماء المرشحين:
